Архетипы Юнга как логическая система
ru | enВ аналитической психологии К. Г. Юнга архетипами называются изначальные врожденные психические структуры, первичные схемы образов фантазии, содержащиеся в так называемом коллективном бессознательном и априорно формирующие активность воображения. Архетипы лежат в основе общечеловеческой символики и выявляются в мифах, верованиях, сновидениях, произведениях литературы и искусства. Архетипы представляют собой не сами образы, а их схемы, их психологические предпосылки, их возможность. К. Г. Юнг считал, что архетипы имеют не содержательную, но исключительно формальную характеристику, да и ту лишь в весьма ограниченном виде. Содержательную характеристику первообраз получает, когда он проникает в сознание и при этом наполняется материалом сознательного опыта. Его форму К. Г. Юнг сравнивал с системой осей кристалла, которая в известной степени преформирует образование кристалла в маточном растворе, сама не обладая вещественным бытием. Процесс мифотворчества поэтому есть трансформация архетипов в образы, невольные высказывания о бессознательных душевных событиях на языке объектов внешнего мира. При всей своей формальности, крайней обобщенности, архетипы имеют свойство сопровождаться необычайно оживленными эмоциональными тонами, впечатлять, внушать, увлекать по мере того, как они становятся более отчетливыми, поскольку восходят к универсально постоянным началам в человеческой природе.
К. Г. Юнг предполагал, что архетипы присущи человеческой общности или всему человечеству в целом, т. е. , по-видимому, наследуются. В качестве “вместилища”, духовного пространства для архетипов он постулировал особенно глубокий уровень бессознательного, выходящий за пределы личности — коллективное бессознательное. Концепция архетипов ориентирует на отыскание набора инвариантных архетипических структур, характеризующих в совокупности целостные свойства мира. В позднейшей литературе термин “архетип” применяется для обозначения наиболее общих, фундаментальных и общечеловеческих изначальных схем представлений, лежащих в основе любых структур, как в гуманитарных, так и в естественнонаучных областях.
Не существует исчерпывающего систематизированного перечня архетипов Юнга. Сам он не предложил их формализованной схемы, добавляя их по мере необходимости и считая, что они могут перетекать друг в друга.
Сначала рассмотрим появление базовой четверки архетипов из Целого. После первой дихотомии нейтральное Целое делится на Ян (Мужское и Инь (Женское):

Рис. 1
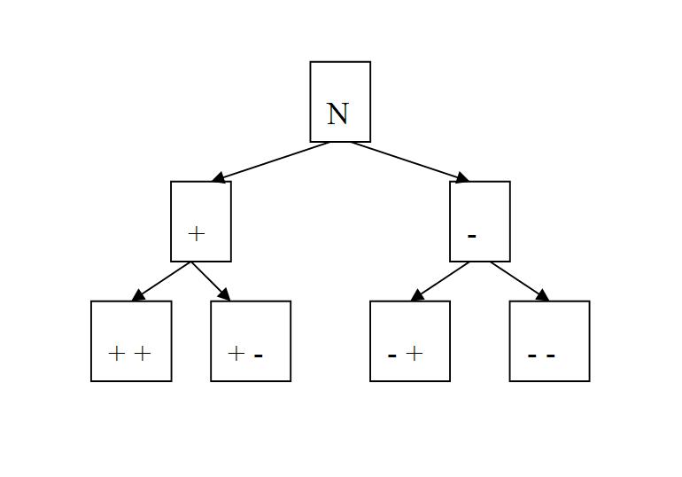
Вторая дихотомия приводит к появлению тетрады:

Рис. 2
Вторая дихотомия дает полное рефлексивное завершение двоичному делению, т.к. позволяет отобразить исходную оппозицию в каждом из ее членов. В результате внутри каждого из членов (мужского и женского) образуется видение самого себя и противоположного члена.
Так Мужское видит себя как активность, а Женское воспринимает как пассивность. В совокупности эта пара дает чисто функциональный взгляд на развитие — активное ДВИЖЕТ пассивное.
Напротив, Женское видит себя как потенциальность, а Мужское воспринимает как актуальность. Эта пара в совокупности дает чисто структурный взгляд на развитие — потенциальное РОЖДАЕТ актуальное. (Подробнее про тетраду можно прочитать здесь.)
Отобразив зеркально вниз изображенную на рис.2 тетраду, мы получим каркас схемы, описывающий отношение индивидуальности и коллективного бессознательного.
Существование двух самых известных юнгианских архетипа (Анима и Анимус) ясно указывает на отличие мужской и женской психологии. В контексте первичной дихотомии Анима представляет собой бессознательную (женскую) часть мужской души, в то время как Анимус - бессознательную (мужскую) часть женской души. Это наблюдение приводит нас к необходимости разработки двух схем (мужской и женской), группирующей юнгианские архетипы.
Рассмотрим первую (мужскую) схему:

Рис. 3
Архетип самости Self - божественный проект человека, запечатленный в его душе . Self существует вне времени и пространства, находится над уровнем сознания.
В процессе самоидентификации, вызванной наличием у человека пола, единая Self разделяется на две части: Ego и Anima для мужчин и Ego и Animus для женщин.
С Ego отождествляется сознание: мужское сознание - с янской частью (+), а Anima – с женской частью души, в основном остающейся неосознанной в явном виде (латентной) (-).
В мифологическом виде этот процесс разделения Self на мужскую и женскую часть можно найти в «Пире» Платона, когда изначальные андрогины были разделены на две части.
Ego, как янское начало, разделяется на активное (Hero) и пассивное (Wise Man). В свою очередь Anima делится на потенциальную (Great Mother) и актуальную (Сhild) часть. На этом уровне происходит контакт индивидуальности с социумом, в процессе которого человек, как правило, акцентирует для себя одну из ролей как предпочтительную, хотя в различных ситуациях роль может меняться. Отметим, что для мужчины выбор происходит именно из четырех ролей, хотя мужские роли (Hero) и (Wise Man), в случае мужчин, являются социально и психологически более предпочтительными.
Совокупность этих четырех ролей мы трактуем как уровень, обозначающий границу между коллективным и индивидуальным. Удаление от центра сознания Ego и погружение в коллективное бессознателное приводит нас к архетипам Wizard и Fairy.
Wizard возникает как архетипическая фигура, которая сочетает в себе черты Hero и Wise Man, однако это происходит за счет частичной утраты индивидуальности и растворения в коллективном бессознательном. В то же время, Wizard является отражением индивидуального Ego в пространстве коллективного бессознательного, и, поэтому, приобретает отчасти магический характер.
Архетип Fairy представляет собой для мужчин загадочный и притягательный женский образ, соединяющей в себе черты Child и Great Mother. Fairy - отражение индивидуальной Anima в коллективном бессознательном.
Уровень Shadow обозначает переход к растворению индивидуальности в коллективном бессознательном. Shadow является отражением архетипа Self в коллективном бессознательном и обозначает собой уровень, на котором исчезает индивидуальность, и манифестирует индивидуальный вклад в разрешение коллективной кармы.
Вторая (женская) схема:

Рис. 4
Женщина, в отличие от мужчины, отождествляет себя с иньской частью первичной дихотомии, в то время как Анимус представляет собой янскую часть, вытесненную в индивидуальное бессознательное женщины. Уровень социализации представлен теми же четырьмя архетипическими фигурами, однако для женщины предпочтительными социальными ролями будут Child и Great Mother.
Фигура Witch представляет собой отражение женского Ego в бессознательное. Объединяя в себе черты Child и Great Mother, Witch как отражение женского Ego, обладает магической силой, источником которой является женская эротическая энергия как сплав этических и эстетических элементов.
Фигура Mefisto объединяет в женском восприятии совокупность мужских способностей: силы и ума.
Архетипический образ Shadow аналогичен соответствующему образу в мужской схеме.
Рассмотрим более подробно свойства архетипов, представленных в обеих схемах.
Пара Self – Shadow
Пара Self – Shadow является альфой и омегой представленных схем. В некотором смысле Self и Shadow содержат в себе все промежуточные архетипы, но при этом они не тождественны друг другу.
Self означает индивидуальность в чистом виде, а Shadow отмечает погружение индивидуальности в коллективное бессознательное и постепенное ее размывание. Цепочка, проходящая от Self к Shadow, реализует переход от Единого к Целому. (Единое не имеет частей и недифференцировано, а Целое – результат собирания отдельных частей. С точки зрения бинарных дихотомий Единое – нейтральное (n), не содержащее ни плюса, ни минуса, а Целое – медиатор (m), содержащий и то, и другое.

Рис. 5
В художественной литературе соотношение архетипов Self и Shadow присутствует в романе О. Уайльда «Портрет Дориана Грея». Здесь неизменная внешность Грея отражает вечную природу Self, в то время как его портрет, подобно Shadow, собирает в себе кармические следствия совершенных им поступков. Заметим, что в то время как Дориан Грей является отдельным индивидуумов, портрет является культурным феноменом, и тем самым аппелирует к коллективному восприятию. Портрет хранится в отдельной комнате и за занавесом, что обозначает нежелательность непосредственного контакта между Self и Shadow. Финальная сцена романа показывает, к каким трагическим последствиям приводит попытка непосредственного влияния Self на Shadow: их взаимодействие должно осуществляться только через промежуточные уровни.
Другой литературный пример - повесть английского писателя Р.Л. Стивенсона «Странная история доктора Джекила и мистера Хайда». Асоциальные действия мистера Хайда – следствие того, что на уровне Shadow этика отсутствует. Окончательное перетекание Джекила в Хайда означает растворение сознания в Shadow, что оказывается фатальным.
В сказке Е. Шварца взаимодействие между Self и Shadow доведено до открытого конфликта – они прямо противостоят друг другу. Проблема возникла после того, как Тень приобрела автономность и получила собственную силу.
В повести Урсулы Ле Гуин «Волшебник Земноморья» подчеркивается потусторонний аспект Shadow: тень, преследующая главного героя, возникает после того, как он обращается к миру мертвых.
Четверка социальных ролей.
Как видно из схемы (рис. 2), четверка социальных ролей оказывается полной на представленном уровне по построению. И действительно, рассматривая основные 4 модуса человеческого поведения: восприятие, мышление, чувства и действие, не трудно установить взаимно однозначное соответствие между ними и предложенными социальными ролями. Так поведение Child сфокусировано на восприятии, Wise Man – на мышлении, Great Mother – на чувстве и Hero – на действии. Этим модусам отвечают четыре культурные ценности: красота, истина, добро и сила.
| роли | модусы поведения | ценности | темпераменты |
|---|---|---|---|
| Child | восприятие | красота | cангвиник |
| Wise Man | мышление | истина | флегматик |
| Great Mother | чувства | добро | меланхолик |
| Hero | действие | сила | холерик |
Видно отличие мужских и женских социальных ролей: мужские (Hero, Wise Man) нацелены на экспансию, а женские (Child, Great Mother) – на гармонизацию.
Отметим, что архетипы этого уровня часто реализуются не только на уровне отдельных индивидуумов, но и на уровне институтов, организаций или целых стран.
Рассматривая предложенные схемы, можно увидеть, что в них присутствуют практически все архетипы, предложенные Юнгом, причем два из них (Persona и Triсkster) оказываются композитными, т.е. состоящими из нескольких архетипов. Эти схемы задают определенную структуру и характер взаимоотношений между архетипами.